Вершина ориентированного графа
называется истоком, если в неё не входит ни одно ребро, и стоком,
если из неё не выходит ни одного ребра.
Ориентированный граф задан матрицей смежности. Найдите
все его вершины-истоки и все вершины-стоки.
Вход. Первая строка содержит количество вершин в графе n (1 ≤ n ≤ 100), затем идет матрица
смежности – n строк по n чисел, каждое из которых равно 0 или 1.
Выход. В первой строке выведите количество истоков в
графе, затем номера вершин, являющиеся истоками, в порядке
возрастания. Во второй строке выведите информацию о
стоках в том же формате.
|
Пример входа |
Пример выхода |
|
5 0 0 0 0 0 0 0 0 0 1 1 1 0 0 0 0 0 0 0 0 0 0 0 0 0 |
2 3 4 3 1 4 5 |
графы
Для
каждой вершины i подсчитаем в in[i] количество входящих ребер, в out[i] – количество исходящих. Истоками будут такие вершины v, для которых in[v] = 0 (в
которые ничто не входит). Стоками
будут такие вершины v, для которых out[v] = 0 (из которых ничто не исходит).
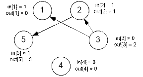
Граф,
приведенный в примере, имеет вид:

Вершины
3 и 4 являются истоками, так как в них не входит ни одного ребра (in[3] = 0 и in[4] = 0).
Вершины
1, 4 и 5 являются стоками, так как из них не исходит ни одного ребра (out[1] = 0, out[4] = 0 и out[5] = 0).
Реализация алгоритма
Объявим
массивы in и out.
#define MAX 110
int in[MAX], out[MAX];
Читаем входные данные. Для каждого ребра (i,
j) увеличим на 1
значения out[i] и in[i].
memset(in, 0, sizeof(in));
memset(out, 0, sizeof(out));
scanf("%d", &n);
for (i = 0; i < n; i++)
for (j = 0; j < n; j++)
{
scanf("%d", &val);
if (val == 1)
{
out[i]++; in[j]++;
}
}
Подсчитаем количество истоков source и стоков sink.
source = sink = 0;
for (i = 0; i < n; i++)
{
if (in[i] == 0) source++;
if (out[i] == 0) sink++;
}
Выводим истоки.
printf("%d", source);
for (i = 0; i < n; i++)
if (in[i] == 0)
printf(" %d", i + 1);
Выводим стоки.
printf("\n%d", sink);
for (i = 0; i < n; i++)
if (out[i] == 0)
printf(" %d", i + 1);
printf("\n");